HUBER+SUHNER SUCOFLEX® 104 Microwave Cable Assemblies

HUBER+SUHNER SUCOFLEX® 104 Microwave Cable Assemblies with the most ruggedization can be universally assembled with a wide range of connector types. These cable assemblies are capable of working up to 26.5GHz. HUBER+SUHNER SUCOFLEX 104 cable assemblies feature quick-lock nuts, high-stability, low loss, and VNA-specific connectors. These cable assemblies offer 50Ω impedance, 4.3ns/m signal delay, and -55°C to 165°C operating temperature range.

Features

  • 50Ω impedance
  • Up to 26.5GHz frequency
  • High stability
  • Low loss
  • Wide range of connectors
  • VNA-specific connectors
  • Quick-lock nuts
  • 87pF/m capacitance
  • 4.3ns/m signal delay
  • ≥1 x 108MΩm insulation resistance
  • ≤2.6kVrms maximum operating voltage
  • -55°C to +165°C operating temperature range

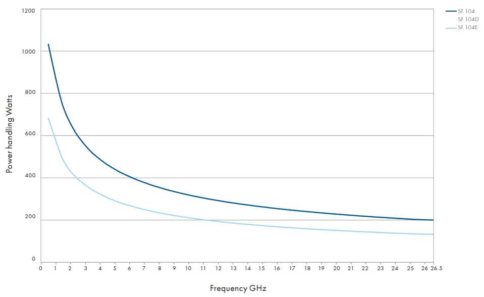
Power Handling

Performance Graph - HUBER+SUHNER SUCOFLEX® 104 Microwave Cable Assemblies
Publicado: 2019-07-22 | Actualizado: 2025-04-15